Bac Amérique du Sud 2022 Sujet 1
Exercice C – (5 points) – Au choix du candidat – Durée 0h53 – Calculatrice autorisée
Sujet n°22-PYCJ1AS1
Sujet et corrigé
EXERCICE C. ATTERRISSAGE DU PREMIER ÉTAGE D’UNE FUSÉE
Mots-clés : description d’un mouvement, vecteur vitesse, équation horaire, seconde loi de Newton.
Une technologie spatiale développée par une société commerciale permet de récupérer le premier étage d’une fusée après son décollage. Le schéma ci-contre montre qu’après la séparation entre le premier et le second étage, le premier revient sur Terre pour atterrir délicatement sur une plateforme. Cet atterrissage doit s’effectuer « en douceur », c’est-à-dire avec une valeur de la composante verticale de la vitesse inférieure à 6 m·s-1.
Cet exercice se propose d’étudier le retour sur Terre du premier étage de la fusée

D’après : https://i.pinimg.com/originals/af/de/c9/afdec9a53447101073019892ab27041f.jpg

Le premier étage de la fusée chute dans l’atmosphère terrestre depuis une altitude de plusieurs dizaines de kilomètres. Pour ralentir sa chute, il utilise son moteur. On étudie le mouvement de cet étage à proximité du sol après le déploiement du train d’atterrissage. Lors de cette dernière phase, sa masse est considérée comme constante.
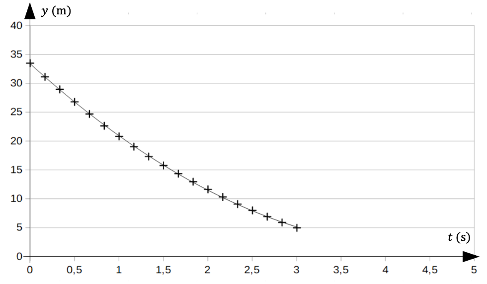
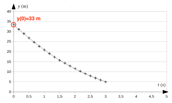
Disposant d’une vidéo de l’atterrissage du premier étage d’une fusée, un pointage des positions du point M a été réalisé et a permis d’obtenir les graphiques 1 et 2 ci-après.
On a représenté ci-contre deux positions successives du point M aux dates 𝑡1 = 0,50 s et 𝑡2 = 2,50 s lors de la phase de l’atterrissage du premier étage. Celui-ci se trouve alors respectivement aux altitudes 𝑦1 et 𝑦2.
Le mouvement est étudié dans le référentiel terrestre supposé galiléen. Lors de la dernière phase de l’atterrissage, le mouvement du système est vertical et s’effectue selon l’axe O𝑦 orienté suivant la verticale ascendante.

Donnée : 𝑔 = 9,8 m·s−2. 𝑥
Graphique 1. Évolution de la coordonnée verticale 𝑣𝑦 du vecteur vitesse du point M en fonction du temps.

Graphique 2. Évolution de l’altitude 𝑦 du point M en fonction du temps.

1. Représenter sur un schéma le vecteur vitesse du point M aux instants 𝑡1 et 𝑡2 en utilisant l’échelle de représentation suivante : 1 cm sur votre feuille correspond à 6,0 m·s−1.
D’après la modélisation : $v_y=\ 2,80\ t\ -\ 13,6$
Calculons $v_y(t_1)$ :
$v_y\left(t_1\right)=2,80\ t_1\ -\ 13,6$
$v_y\left(t_1\right)=2,80\ \times0,50\ -\ 13,6$
$v_y\left(t_1\right)=-12,2\ m.s^{-1}$
Le signe négatif nous indique que $v(t1)$ est dirigé vers le bas.
$v=\sqrt{v_x^2+v_y^2}$
$v\left(t_1\right)=\sqrt{v_{x\left(t_1\right)}^2+v_{y\left(t_1\right)}^2}$
$v\left(t_1\right)=\sqrt{0^2+\left(-12,2\right)^2}$
$v\left(t_1\right)=12,2\ m.s^{-1}$
Echelle : 1 cm sur votre feuille correspond à 6,0 m·s−1.
| 1 cm | 6,0 m·s−1 |
| x | 12,2 m·s−1 |
$x=\frac{12,2\ \times1}{6,0}=2,0\ cm$
On représente $v(t1)$ par un vecteur vertical, dirigé vers le bas qui mesure 2,0 cm.
Calculons $v_y(t_2)$ :
$v_y\left(t_2\right)=2,80\ t_2\ -\ 13,6$
$v_y\left(t_2\right)=2,80\ \times2,50\ -\ 13,6$
$v_y\left(t_2\right)=-6,6\ m.s^{-1}$
Le signe négatif nous indique que $v(t2)$ est dirigé vers le bas.
$v=\sqrt{v_x^2+v_y^2}$
$v\left(t_1\right)=\sqrt{v_{x\left(t_2\right)}^2+v_{y\left(t_2\right)}^2}$
$v\left(t_1\right)=\sqrt{0^2+\left(-6,6\right)^2}$
$v\left(t_1\right)=6,6\ m.s^{-1}$
Echelle : 1 cm sur votre feuille correspond à 6,0 m·s−1.
| 1 cm | 6,0 m·s−1 |
| x | 6,6 m·s−1 |
$x=\frac{6,6\ \times1}{6,0}=1,1\ cm$
On représente $v(t2)$ par un vecteur vertical, dirigé vers le bas qui mesure 1,1 cm.

2. Déterminer la valeur de l’accélération et commenter le signe de la projection de l’accélération suivant Oy. Qualifier le mouvement.
$a_y=\frac{dv_y}{dt}$
$a_y=\frac{d\left(2,80\ t\ -\ 13,6\right)}{dt}$
$a_y=2,80\ m.s^{-2}$
$a_y$ est positif : il est dirigé vers le haut. $a_y$ représente la variation du vecteur vitesse
$\Delta\overrightarrow{v}=\overrightarrow{v}\left(t_2\right)-\overrightarrow{v}\left(t_1\right)$
qui est dirigé vers le haut.
Le mouvement est rectiligne (car selon l’axe y uniquement) uniformément décéléré (car $a_y$ est constant et la vitesse diminue).

3. Représenter, sur un schéma, les forces qui modélisent les principales actions qui s’exercent sur le premier étage de la fusée étudiée de manière à rendre compte du signe de la projection de l’accélération suivant Oy. Justifier.
Les forces s’exerçant sur le système sont le poids, la force exercée par les moteurs et les forces de frottements
D’après la seconde loi de Newton :
$\Sigma\overrightarrow{F}=m\overrightarrow{a}$
$\overrightarrow{P}+{\overrightarrow{F}}_m+\overrightarrow{f}=m\overrightarrow{a}$
$a_y$ est positif : il est dirigé vers le haut donc la somme des forces également.
Le poids est dirigé vers le bas. La force exercée par les moteurs et la force de frottement sont dirigés vers le haut et leur somme doit donc être supérieur au poids.

4. En exploitant les graphiques 1 et 2, montrer que l’équation horaire 𝑦 = 𝑓(𝑡) du mouvement du point M peut s’écrire :
𝑦 = 1,40 𝑡2 − 13,6 𝑡 + 33 avec 𝑦 en m et 𝑡 en s.
$v_y=\ 2,80\ t\ -\ 13,6$
Or
$v_y=\frac{dy}{dt}$
En primitivant :
$y(t)=\frac{1}{2}\times\ 2,80\ t^2\ -\ 13,6\times t+C$
Trouvons C en utilisant les conditions initiales :
$y\left(0\right)=33\ m$
Donc $C=33$
$y(t)=\frac{1}{2}\times\ 2,80\ t^2\ -\ 13,6\times t+33$
$y(t)=1,40\times\ t^2\ -\ 13,6\times t+33$

5. Déterminer la valeur de la vitesse du système lorsqu’il touche le sol en admettant que l’accélération ne varie pas sur les derniers mètres.
Lorsqu’il touche le sol\ $y(t_{sol})=0$. Trouvons $t_{sol}$ :
$y\left(t_{sol}\right)=1,40\times\ {t_{sol}}^2\ -\ 13,6\times t_{sol}+33=0$
C’est une équation du second degré :
$\Delta=b^2-4ac$
$\Delta=\left(-\ 13,6\right)^2-4\times1,40\times33$
$\Delta=0,16$
$t_{sol1}=\frac{-b+\sqrt\Delta}{2a}$
$t_{sol1}=\frac{-\left(-\ 13,6\right)+\sqrt{0,16}}{2\times1,40}$
$t_{sol1}=5,0\ s$
$t_{sol2}=\frac{-b-\sqrt\Delta}{2a}$
$t_{sol2}=\frac{-\left(-\ 13,6\right)-\sqrt{0,16}}{2\times1,40}$
$t_{sol2}=4,7\ s$
Calculons $v_y$ pour ces deux moments :
$v_y\left(t_{sol1}\right)=\ 2,80\ t_{sol1}-\ 13,6$
$v_y\left(t_{sol1}\right)=\ 2,80\ \times5,0-\ 13,6$
$v_y\left(t_{sol1}\right)=\ 0,40\ m.s^{-1}$
$v_y\left(t_{sol2}\right)=\ 2,80\ t_{sol2}-\ 13,6$
$v_y\left(t_{sol2}\right)=\ 2,80\ \times4,7-\ 13,6$
$v_y\left(t_{sol2}\right)=\ -0,44\ m.s^{-1}$
$v_y\left(t_{sol1}\right)$ est positif donc dirigé vers le haut, ce qui implique que la fusé monte. Or celle ci descend, nous conversons donc $v_y\left(t_{sol2}\right)$
$v=\sqrt{v_x^2+v_y^2}$
$v\left(t_{sol2}\right)=\sqrt{v_{x\left(t_{sol2}\right)}^2+v_{y\left(t_{sol2}\right)}^2}$
$v\left(t_{sol2}\right)=\sqrt{0^2+\left(-0,44\right)^2}$
$v\left(t_{sol2}\right)=0,44\ m.s^{-1}$
6. Préciser si l’atterrissage s’effectue « en douceur ».
D’après l’énoncé : « Cet atterrissage doit s’effectuer « en douceur », c’est-à-dire avec une valeur de la composante verticale de la vitesse inférieure à $6\ m\cdot s^{-1}$. »
$v\left(t_{sol2}\right)=0,44\ m.s^{-1}<6\ m.s^{-1}$
L’atterrissage s’effectue donc « en douceur ».