Métropole Septembre 2025 Sujet 1
Exercice 1 – (11 points) – Durée 1h56 – Calculatrice autorisée
Sujet n°25-PYCJ1ME3
Sujet et corrigé
Exercice 1 – La physique au service du vigneron (11 points)
La vinification est le processus de transformation du jus de raisin en vin par fermentation. Lors des premières étapes de vinification, on fait éclater les grains de raisin et le jus extrait est placé dans une cuve de stockage. Commence alors la fermentation alcoolique, étape pendant laquelle une partie du sucre se transforme en alcool. Au cours de ce processus, le vigneron doit contrôler la température et la masse volumique du jus.

L’objectif de cet exercice est d’étudier comment la physique peut être utile au vigneron pour mesurer le niveau de remplissage de la cuve de stockage, contrôler la température du jus de raisin et en déterminer le taux de sucre au cours de la fermentation.
1. Étude du principe du capteur de niveau
La cuve de stockage est équipée d’un capteur de niveau de type capacitif permettant de contrôler la hauteur de liquide (figure 1).

Figure 1. Schéma d’une cuve de stockage avec capteur de niveau
Ce capteur est constitué d’une tige conductrice recouverte d’une très fine couche d’isolant. Lorsque celle-ci trempe dans un liquide conducteur, comme le jus de raisin, elle constitue une des armatures d’un condensateur et le liquide en constitue l’autre. On considère pour simplifier que l’ensemble se comporte comme un condensateur plan (figure 2).
On souhaite étudier en laboratoire le principe de ce capteur et l’influence de la hauteur de liquide sur le comportement d’un tel condensateur en réalisant le montage représenté sur la figure 3 :
- une feuille d’aluminium rectangulaire de largeur ℓ = 41 cm constitue l’armature 1 du condensateur ;
- une feuille plastifiée d’épaisseur e = 80 µm de polyester joue le rôle d’isolant ;
- la plaque, formée par la feuille d’aluminium et la feuille plastifiée, est plongée dans un récipient et en touche le fond. Elle est en contact sur une hauteur h avec un liquide conducteur qui joue le rôle de l’armature 2 du condensateur ;
- un fil dénudé permet d’établir un contact électrique avec le liquide.

Données :
- la surface SC de chaque armature du dispositif expérimental s’exprime par la relation : SC = h·ℓ ;
- la capacité C du condensateur plan de ce dispositif s’exprime par la relation : $ C = \frac{\varepsilon\cdot S_C}{e} $ avec C en farad (F), SC en m2, e en m et ε, grandeur caractéristique de l’isolant appelée permittivité, exprimée en F·m–1.
Q1. Expliquer pourquoi ce capteur ne peut pas être utilisé dans un liquide isolant.
Ce capteur se comporte comme un condensateur plan.
Un condensateur est constitué de deux armatures conductrices séparés par un isolant.
Le liquide constitue une des armatures et doit donc être conducteur.
Ainsi, ce capteur ne peut pas être utilisé dans un liquide isolant.
Q2. Préciser si la capacité C du condensateur augmente ou diminue lorsque la hauteur h de liquide dans lequel l’ensemble est plongé augmente.
$C=\frac{\varepsilon\times S_C}{e}$
Or
$S_C=h\times l$
D’ou
$C=\frac{\varepsilon\times h\times l}{e}$
La capacité C du condensateur est proportionnel à la hauteur h.
Ainsi, la capacité C du condensateur augmente lorsque la hauteur h de liquide dans lequel l’ensemble est plongé augmente.
Pour mesurer la valeur de la capacité du condensateur, on réalise le circuit électrique représenté à la figure 4. Il comporte :
- un générateur idéal de tension E = 5,0 V ;
- un conducteur ohmique de résistance R = 6,0×106 W ;
- le dispositif expérimental de la figure 3 jouant le rôle d’un condensateur de capacité C ;
- un interrupteur à deux positions.

Figure 4. Schéma du circuit électrique permettant de mesurer la capacité C
L’interrupteur est préalablement placé en position 1 afin de décharger le condensateur. À l’instant t = 0, le condensateur est déchargé et l’interrupteur est basculé en position 2.
Q3. Montrer que, lors de sa charge, la tension uC(t) aux bornes du condensateur obéit à l’équation différentielle suivante :
$$ \frac{du_C}{dt} + \frac{u_C}{R\cdot C} = \frac{E}{R\cdot C} $$
Lors de sa charge (position 2), d’après la loi d’additivité des tensions ou loi des mailles :
$U_C(t)+U_R(t)=E$
or $U_R(t)=R\times i$
$U_C(t)+R\times i\ =E$
Or
$i(t)=\frac{dq_{(t)}}{dt}$
$U_C(t)+R\times \frac{dq_{(t)}}{dt}\ =E$
Or
$q(t)=C\times U_C(t)$
$U_C(t)+R\times \frac{dC\times U_C(t)}{dt}\ =E$
$U_C(t)+RC\frac{dU_C(t)}{dt}=E$
On divise par RC :
$\frac{U_C(t)}{RC}+\frac{dU_C(t)}{dt}=\frac{E}{RC}$
On obtient l’équation différentielle :
$\frac{dU_C(t)}{dt}+\frac{U_C(t)}{RC}=\frac{E}{RC}$
Q4. La tension d’expression $u_C(t) = A\cdot e^{-t/\tau} + B$ est solution de cette équation différentielle. Déterminer, en fonction des paramètres E, R et C, les expressions des constantes A, B et t adaptées aux conditions de l’expérience.
$U_C\left(t\rightarrow\infty\right)=Ae^{-\frac{t}{\tau}}+B$
$U_C\left(t\rightarrow\infty\right)=Ae^{-\frac{\infty}{\tau}}+B$
$U_C\left(t\rightarrow\infty\right)=A\times 0+B$
$U_C\left(t\rightarrow\infty\right)=B$
Or pour un temps très long, la tension du condensateur prend pour valeur la tension du générateur : $U_C\left(t\rightarrow\infty\right)=E$
Ainsi B=E
$U_C\left(t=0\right)=A\times e^{-\frac{0}{\tau}}+B$
$U_C\left(t=0\right)=A+B$
Or initialement la valeur la tension du générateur : $U_C\left(t=0\right)=0$
Donc A+B=0
A=-B
A=-E
$U_C\left(t\rightarrow\infty\right)=Ae^{-\frac{t}{\tau}}+B$
$U_C\left(t\rightarrow\infty\right)=-Ee^{-\frac{t}{\tau}}+E$
Vérifions que la solution de cette équation différentielle est de la forme :
$U_C\left(t\right)=-Ee^{-\frac{t}{\tau}}+E$
-Dérivons $U_C\left(t\right)$ :
$\frac{dU_C(t)}{dt}=-E\times \frac{-1}{\tau}e^{-\frac{t}{\tau}}$
$\frac{dU_C(t)}{dt}=\frac{E}{\tau}e^{-\frac{t}{\tau}}$
-Remplaçons $U_C\left(t\right)$ et $\frac{dU_C(t)}{dt}$ dans l’équation :
$\frac{dU_C(t)}{dt}+\frac{U_C\left(t\right)}{RC}=\frac{E}{RC}$
$\frac{E}{\tau}e^{-\frac{t}{\tau}}+\frac{-Ee^{-\frac{t}{\tau}}+E}{RC}=\frac{E}{RC}$
$\frac{E}{\tau}e^{-\frac{t}{\tau}}+\frac{-Ee^{-\frac{t}{\tau}}+E}{RC}=\frac{E}{RC}$
$\frac{E}{\tau}e^{-\frac{t}{\tau}}+\frac{-Ee^{-\frac{t}{\tau}}}{RC}+\frac{E}{RC}=\frac{E}{RC}$
$\frac{E}{\tau}e^{-\frac{t}{\tau}}-\frac{Ee^{-\frac{t}{\tau}}}{RC}=\frac{E}{RC}-\frac{E}{RC}$
$\frac{E}{\tau}e^{-\frac{t}{\tau}}-\frac{Ee^{-\frac{t}{\tau}}}{RC}=0$
$Ee^{-\frac{t}{\tau}}\left(\frac{1}{\tau}-\frac{1}{RC}\right)=0$
Un produit de facteur est nul si un de ses facteur est nul :
E=0 n’est pas une solution car la tension du générateur n’est pas nulle
$e^{-\frac{t}{\tau}}=0$ n’est pas une solution car la solution doit être valable quel que soit le temps
$\frac{1}{\tau}-\frac{1}{RC}=0$
$\frac{1}{\tau}=\frac{1}{RC}$
$\tau=RC$
En conclusion :
A=-E
B=E
$\tau=RC$
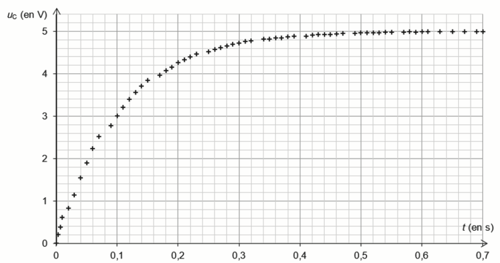
On réalise une première expérience de charge du condensateur pour une hauteur htest de liquide. La figure 5 représente l’évolution temporelle de la tension uC(t) aux bornes de ce condensateur.

Figure 5. Évolution temporelle de la tension uC(t) aux bornes du condensateur lors de sa charge
L’expérience est reproduite pour différentes hauteurs h de liquide. La représentation graphique de la variation de la capacité du condensateur en fonction de la hauteur de liquide est donnée en figure 6. Une droite de modélisation y a été tracée.

Figure 6. Variation de la capacité C du condensateur en fonction de la hauteur h de liquide
Q5. À l’aide des figures 5 et 6, déterminer la hauteur htest de liquide utilisée dans la première expérience.
Le candidat est invité à prendre des initiatives et à présenter la démarche suivie, même si elle n’a pas abouti. La démarche est évaluée et nécessite d’être correctement présentée.
A l’aide de la figure 5 trouvons $\tau$.
Méthode 1 :
$U_C\left(\tau\right)=0,63\times E$
$U_C\left(\tau\right)=0,63\times 5,0$
$U_C\left(\tau\right)=3,2\ V$
Graphiquement : $\tau=0,11\ s$

Méthode 2 :
On trace la tangente à la courbe à t=0 et on regarde l’abscisse du point d’intersection entre cette tangente et l’asymptote U_C=E
Graphiquement : $\tau=0,11\ s$

Trouvons la valeur de la capacité C :
$\tau=RC$
$RC=\tau$
$C=\frac{\tau}{R}$
$C=\frac{0,11}{6,0\times {10}^6}$
$C=1,8\times {10}^{-8}\ F$
$C=18\ nF$
A l’aide de la figure 6 trouvons la hauteur de liquide correspondante :
Graphiquement, pour C=18 nF, on lit h=12 cm.
Ainsi, la hauteur htest de liquide utilisé dans la première expérience est htest =12 cm.

2. Contrôle de la température du jus de raisin
Pour que la fermentation alcoolique se produise, la température du jus doit être maintenue autour de 18°C. Ainsi, la cuve de stockage est équipée d’un échangeur thermique plongeant dans le jus permettant d’assurer soit un chauffage soit un refroidissement du jus, en fonction des variations constatées de la température de celui-ci.
On souhaite établir le bilan énergétique du système {jus de raisin} afin de déterminer la puissance de l’échangeur thermique à utiliser.
La figure 7 présente les puissances échangées entre le système {jus de raisin} et le milieu extérieur. On considère que le jus de raisin est à l’équilibre thermique.

Figure 7. Bilan de puissances du système
Données :
- température du jus à maintenir lors de la fermentation alcoolique : θjus = 18 °C ;
- température moyenne de l’air extérieur : θext = 22 °C ;caractéristiques de la cuve de stockage :
- contenance : V = 2 m3 ;
- surface d’échange thermique : S = 9 m2 ;
- la capacité thermique de l’ensemble du jus de raisin est notée CJ (en J·K–1) ;
- la fermentation d’une masse de jus mjus dégage une puissance thermique PF donnée par une loi empirique :
PF = 0,127 · mjus où mjusest en kg et PF en W ;
- flux thermique entre l’extérieur et l’intérieur de la cuve de stockage :
ΦP = A·S·(θext – θjus)
avec :
- S la surface d’échange thermique (en m2) ;
- A le coefficient global d’échange par les parois de la cuve de stockage : A = 12 W·m–2·K–1 ;
- masse volumique du jus de raisin au cours de la fermentation alcoolique : ρjus = 1 090 kg·m–3.
Q6. Indiquer, en justifiant, le sens du transfert thermique s’opérant entre le jus maintenu à la température θjus et l’air extérieur à la température θext lors de la fermentation alcoolique.
Le transfert thermique se fait du corps chaud vers le corps froid.
La température du jus à maintenir lors de la fermentation alcoolique est θjus = 18 °C et la température moyenne de l’air extérieur est θext = 22 °C.
Ainsi, le transfert thermique se fait de l’air extérieur (corps chaud) vers le jus (corps froid).
Q7. Calculer la valeur du flux thermique global ΦP à travers les parois de la cuve de stockage.
$\phi_P=A\times S\times \left(\theta_{ext}-\theta_{jus}\right)$
$\phi_P=12\times 9\times \left(22-18\right)$
$\phi_P=432\ W$
Q8. Calculer la puissance PF dégagée par la fermentation du jus de raisin dans la cuve de stockage entièrement remplie.
$P_F=0,127\times m_{jus}$
Or
$\rho_{jus}=\frac{m_{jus}}{V_{jus}}$
$\frac{m_{jus}}{V_{jus}}=\rho_{jus}$
$m_{jus}=\rho_{jus}\times V_{jus}$
D’où
$P_F=0,127\times \rho_{jus}\times V_{jus}$
$P_F=0,127\times 1\ 090\times 2$
$P_F=277\ W$
On admet que, compte tenu du dégagement d’énergie lié à la fermentation, le premier principe de la thermodynamique appliqué au système fermé {jus de raisin}, dont la température varie de Dq entre deux instants t et t+Dt, conduit à la relation ci-dessous :
$$ C_J\cdot \Delta\theta = (\Phi_P + P + P_F)\cdot \Delta t $$
Q9. Déterminer la valeur de la puissance thermique P de l’échangeur interne placé dans la cuve de stockage permettant de maintenir constante la température du jus. Interpréter le signe de P.
$$C_J\times \Delta \theta=\left(\phi_P+P+P_F\right)\times \Delta t$$
$$\left(\phi_P+P+P_F\right)\times \Delta t=C_J\times \Delta\theta$$
$$\phi_P+P+P_F=\frac{C_J\times \Delta \theta}{\Delta t}$$
$$P=\frac{C_J\times \Delta \theta}{\Delta t}-\phi_P-P_F$$
Lorsque la température du jus est maintenue constante : $\Delta \theta=0$
$$P=\frac{C_J\times 0}{\Delta t}-\phi_P-P_F$$
$$P=-\phi_P-P_F$$
$$P=-432-277$$
$$P=-709\ W$$
La valeur de la puissance thermique P de l’échangeur interne placé dans la cuve de stockage permettant de maintenir constante la température du jus est −709 W.
Le signé négatif nous indique que l’échangeur interne placé dans la cuve de stockage perd de l’énergie.
3. Contrôle du taux de sucre dans le jus de raisin et principe du mustimètre
La mesure de la teneur en sucre d’un jus de raisin permet au vigneron de suivre au cours du temps le processus de fermentation. Lorsque la teneur en sucre est stabilisée à son minimum, l’étape de fermentation alcoolique est terminée.
Pour cela, le vigneron utilise un mustimètre, appareil qui mesure la masse volumique ρjus du jus. Cette mesure permet ensuite de connaître la concentration en masse de sucre. On étudie dans cette partie le principe de fonctionnement d’un mustimètre.
Données :
- la poussée d’Archimède est la force exercée par un fluide sur un système immergé dans ce fluide. Ses caractéristiques sont :
- direction : verticale ;
- sens : vers le haut ;
- valeur : πA = ρ·V·g où ρ est la masse volumique du fluide, V est le volume de la partie immergée du système et g est l’intensité de la pesanteur ;
- le mustimètre étudié, de masse m0 = 55 g, est composé de deux parties :
- un tube large, totalement immergé, de volume V0 = 49 mL ;
- un tube fin gradué, de forme cylindrique, partiellement immergé, de section ST = 5×10–5 m2 ; on note hT la hauteur immergée du tube ;
- on néglige la poussée d’Archimède due à l’air devant celle exercée par le jus de raisin.
Pour réaliser la mesure, le mustimètre est plongé dans un échantillon de jus de raisin, flotte et se stabilise : on peut alors lire la masse volumique sur le tube fin gradué (voir figure 8).

Figure 8. Schéma d’un mustimètre
Q10. Identifier les deux forces agissant sur le système {mustimètre} en équilibre dans le jus de raisin.
Les deux forces agissant sur le système {mustimètre} en équilibre dans le jus de raisin sont le poids $\vec{P}$ et la poussée d’Archimède $\vec{\pi_A}$.
Q11. Montrer que la hauteur hT de la partie immergée du tube fin peut s’écrire sous la forme :
$$ h_T = \frac{m_0}{\rho_{\text{jus}}\cdot S_T} – \frac{V_0}{S_T} $$
avec ρjus : la masse volumique du jus de raisin
Lorsque le système {mustimètre} est en équilibre :
$\Sigma\vec{F_{ext}}=\vec{0}$
$\vec{P}+\vec{P_A}=\vec{0}$
Prenons un axe oz vertical dirigé vers le haut et projetons :
-P+P_A=0

Or
$P=m_0\times g$
$\pi_A=\rho_{jus}\times V_{immerge}\times g$
D’où
$-m_0\times g+\rho_{jus}\times V_{immerge}\times g=0$
$-m_0+\rho_{jus}\times V_{immerge}=0$
Or
$V_{immerge}=V_{tube\ large}+V_{tube\ fin}$
$V_{immerge}=V_0+S_T\times h_T$
D’où
$-m_0+\rho_{jus}\times \left(V_0+S_T\times h_T\right)=0$
$\rho_{jus}\times \left(V_0+S_T\times h_T\right)=m_0$
$V_0+S_T\times h_T=\frac{m_0}{\rho_{jus}}$
$S_T\times h_T=\frac{m_0}{\rho_{jus}}-V_0$
$h_T=\left(\frac{m_0}{\rho_{jus}}-V_0\right)\times \frac{1}{S_T}$
$h_T=\frac{m_0}{\rho_{jus}\times S_T}-\frac{V_0}{S_T}$
Q12. Les graduations sur le tube fin du mustimètre indiquent la valeur de la masse volumique du liquide, exprimée en g·mL–1. Justifier qualitativement que le mustimètre s’enfonce lorsque la masse volumique du jus diminue.
$h_T=\frac{m_0}{\rho_{jus}\times S_T}-\frac{V_0}{S_T}$
La hauteur hT dépend de l’inverse de la masse volumique du jus.
Ainsi, lorsque la masse volumique du jus diminue hT augmente : le mustimètre s’enfonce dans le jus.
La plage de mesure du mustimètre correspond à une hauteur hT immergée variant entre 1 cm et 14 cm.
Q13. Déterminer la masse volumique minimale ρjus,min que peut mesurer ce mustimètre.
La plage de mesure du mustimètre correspond à une hauteur hT immergée variant entre 1 cm et 14 cm.
$h_T=\frac{m_0}{\rho_{jus}\times S_T}-\frac{V_0}{S_T}$
$h_T=\left(\frac{m_0}{\rho_{jus}}-V_0\right)\times \frac{1}{S_T}$
$S_T\times h_T=\frac{m_0}{\rho_{jus}}-V_0$
$V_0+S_T\times h_T=\frac{m_0}{\rho_{jus}}$
$\rho_{jus}\times \left(V_0+S_T\times h_T\right)=m_0$
$\rho_{jus}=\frac{m_0}{V_0+S_T\times h_T}$
La masse volumique dépend de l’inverse de la hauteur hT.
Ainsi, pour trouver la masse volumique minimale on prend la valeur de la hauteur hT maximale soit 14 cm.
$\rho_{jus,min}=\frac{55\times {10}^{-3}}{49\times {10}^{-3}\times {10}^{-3}+5\times {10}^{-5}\times 14\times {10}^{-2}}$
$\rho_{jus,min}=982\ Kg\cdot m^{-3}$
Q14. La masse volumique du jus de raisin diminue lorsque le degré de fermentation augmente. Expliquer le problème que l’on rencontre lors de l’utilisation de ce mustimètre avec un jus trop fermenté.
La masse volumique du jus de raisin diminue lorsque le degré de fermentation augmente.
La hauteur hT dépend de l’inverse de la masse volumique du jus.
Ainsi, si masse volumique du jus de raisin devient trop petite et descend sous la valeur
$\rho_{jus,min}=982\ Kg\cdot m^{-3}$, hT augmente trop et le mustimètre tombe dans le jus trop fermenté.