Bac Asie 2023 Sujet 2
Exercice 2 – (5,5 points) – Durée 0h58 – Calculatrice autorisée
Sujet n°23-PYCJ2JA1
Sujet et corrigé
EXERCICE 2 – UN SAUT PARFAIT (5,5 points)
Le saut au ski Freestyle est une discipline olympique qui est l’équivalent sur neige du trampoline ou de la gymnastique, Les skieurs s’élancent à plus de 60 km.h-1 sur une rampe et montent à une hauteur suffisante pour réaliser des figures.
La performance est jugée par rapport à la qualité d’exécution et de réception ainsi que par rapport à la hauteur et à la portée du saut.

Pour une même valeur de la vitesse initiale, les caractéristiques du saut -durée, hauteur, portée- dépendent notamment de l’inclinaison α de la rampe par rapport au plan horizontal.
Dans la partie A, on utilise un modèle simplifié pour prévoir, à partir des équations horaires, comment varient la durée du saut ainsi que la distance et la hauteur maximales théoriques en fonction de l’angle α de la rampe avec l’horizontale.
Dans la partie B, on examine la hauteur réellement atteinte à partir des données expérimentales dans le cadre d’une étude énergétique.
On s’intéresse au mouvement du centre de masse G du skieur qui s’élance depuis une rampe, à une hauteur initiale H0, avec une vitesse initiale dont le vecteur $\overrightarrow{v_0} $ est incliné d’un angle α par rapport à l’horizontale (voir figure 1 ci-dessous).
Dans tout l’exercice, le référentiel terrestre est supposé galiléen. Les axes sont choisis de telle sorte que le plan (Ox, Oz) contienne la trajectoire.

Figure 1 – Schématisation de !a trajectoire du centre de masse G
Données
- Masse du skieur avec son équipement : m = 80 kg
- Valeur du champ de pesanteur terrestre : g = 9,81 m.s-2
- Valeur de la hauteur initiale : H0 = 3,60 m
- Valeur de la vitesse initiale : V0 = 17 m.s-1
Rappel
La fonction sinus est croissante sur l’intervalle [0, 90°].
Partie A Étude théorique portant sur l’influence de l’angle α entre la rampe et le plan horizontal
Dans cette partie, on fait les hypothèses simplificatrices suivantes :
- on néglige les frottements de l’air sur le skieur ;
- on néglige les rotations du skieur sur lui-même.
La seule force appliquée sur le skieur est donc son poids.
1. Déterminer, à partir de la deuxième loi de Newton, les expressions littérales des coordonnées ax et az du vecteur accélération $\overrightarrow{a} $ du centre de masse G du skieur.
Système {skieur}
Référentiel terrestre supposé galiléen
D’après la deuxième loi de newton :
$$\Sigma\overrightarrow{F_{ext}}=m\overrightarrow{a}$$
$$\overrightarrow{P}=m\overrightarrow{a}$$
$$m\overrightarrow{g}=m\overrightarrow{a}$$
$$\overrightarrow{g}=\overrightarrow{a}$$
Or
$$\vec{g}\left|\begin{matrix}0\\-g \end{matrix}\right.$$
Le vecteur accélération du centre d’inertie du solide est égal au vecteur champ de pesanteur.
$$\overrightarrow{a}\ \left|\begin{matrix}a_{x(t)}=0\\ {\ a}_{z\left(t\right)}=-g \end{matrix}\right.$$

2. Établir les expressions des coordonnées vx(t) et vz(t) du vecteur vitesse du centre de masse G et montrer que les équations horaires x(t) et z(t) du centre de masse sont :
$$
\overrightarrow{OG}
\begin{cases}
x(t)=v_0 \cos(\alpha) \times t \\
z(t)=-\dfrac{1}{2} g t^2 + v_0 \sin(\alpha) \times t + H_0
\end{cases}
$$
$$\overrightarrow{a}=\frac{d\vec{v}}{dt}$$
On intègre le système d’équation précédent :
$$\overrightarrow{v}\ \left|\begin{matrix}v_{x(t)}=C_1 \\ {\ v}_{z\left(t\right)}=-gt+C_2\end{matrix}\right.$$
Pour trouver les constantes, on utilise ${\overrightarrow{v}}_0$
$${\overrightarrow{v}}_0\ \left|\begin{matrix}v{0x}=v_0\ cos\alpha \\ v{0z}=v_0\ sin \alpha \end{matrix}\right.$$

d’ou
$$\overrightarrow{v}\ \left|\begin{matrix}v_{x(t)}=v_0\ cos\alpha \\ {\ v}_{z\left(t\right)}=-gt+v_0\ sin\ \alpha\end{matrix}\right.$$
$$\overrightarrow{v}=\frac{d\overrightarrow{OG}}{dt}$$
On intègre le système d’équation précédent :
$$\overrightarrow{OG}\left|\begin{matrix}x\left(t\right)=\ \ v_0\cos(\alpha)\times t\ +C_3 \\ z\left(t\right)=-\frac{1}{2}gt^2+v_0\sin(\alpha)\times t\ +C_4 \end{matrix}\right.$$
Pour trouver les constantes, on utilise $ \overrightarrow{OG}_0 $
$${\overrightarrow{OG}}_0\ \left|\begin{matrix}x_0=0 \\ z_0=\ H_0\end{matrix}\right.$$
d’ou
$$\overrightarrow{OG}\left|\begin{matrix}x\left(t\right)=\ \ v_0\cos(\alpha)\times t \\z\left(t\right)=-\frac{1}{2}gt^2+v_0\sin{\left(\alpha\right)}\times t+H_0 \end{matrix}\right.$$
Durée du saut en fonction de l’angle α
La durée du saut est une donnée importante car elle conditionne le nombre de figures réalisables. Dans cette partie, on suppose que la durée du saut est égale à deux fois la durée nécessaire au skieur pour atteindre le point C, où sa hauteur est maximale.
On désigne par tHmax la date à laquelle la hauteur est maximale (au point C).
3. Préciser la valeur de vz à la date tHmax et en déduire que :
$$t_{H_{\max}}=\frac{v_0 \sin \alpha}{g}$$
Pour tHmax, la date à laquelle la hauteur est maximale, $${\ v}z=0$$.
$${\ v}{z\left(t\right)}=-gt+v_0\ sin\ \alpha$$
$${\ v}{z\left(t=t{Hmax}\right)}=-gt_{Hmax}+v_0\ sin\ \alpha=0$$
$$-gt_{Hmax}+v_0\ sin\ \alpha=0$$
$$-gt_{Hmax}=-v_0\ sin\ \alpha$$
$$t_{Hmax}=\frac{v_0\ sin\ \alpha}{g}$$
4. Préciser si l’on doit augmenter ou diminuer la valeur de l’angle α si l’on souhaite augmenter la valeur de tHmax.
Pour $\alpha$ qui augmente entre 0° à 90°, sin(α) augmente.
$t_{Hmax}$ est proportionnel à sin(α). Ainsi, pour augmenter la valeur de $t_{Hmax}$, il faut augmenter la valeur de l’angle α.
5. Donner une estimation de la durée totale du saut pour une inclinaison de la rampe de 30°.
D’après le sujet : « on suppose que la durée du saut est égale à deux fois la durée nécessaire au skieur pour atteindre le point C, ou sa hauteur est maximale »
$$t_{sol}=2\times t_{Hmax}$$
$$t_{sol}=2\times\frac{v_0\ sin\ \alpha}{g}$$
$$t_{sol}=2\times\frac{17\times\sin\left(30\right)}{9,81}$$
$$t_{sol}=1,7\ s$$
Remarque du correcteur : il s’agit d’une estimation. Pour trouver la durée du saut il faut procéder de cette façon (non demandé par ce sujet) :
La durée totale du saut est la durée correspondant ou le skieur touche le sol : $z\left(t_{sol}\right)=0$
$$z\left(t\right)=-\frac{1}{2}gt^2+v_0\sin\left(\alpha\right)\times t+H_0$$
$$z\left(t_{sol}\right)=-\frac{1}{2}g{t_{sol}}^2+v_0\sin\left(\alpha\right)\times t_{sol}+H_0$$
$$0=-\frac{1}{2}\times9,81\times{t_{sol}}^2+17\times\sin\left(30\right)\times t_{sol}+3,60$$
$$0=-4,9\times{t_{sol}}^2+8,5\times t_{sol}+3,60$$
C’est une équation du second degré :
$$\Delta=b^2-4ac$$
$$\Delta=\left(8,5\right)^2-4\times-4,9\times3,60$$
$$\Delta=142,81$$
$$t_{sol1}=\frac{-b+\sqrt{\Delta}}{2a}$$
$$t_{sol1}=\frac{-\left(8,5\right)+\sqrt{142,81}}{2\times-4,9}$$
$$t_{sol1}=-0,35\ s$$
Un temps n’est pas négatif.
$$t_{sol2}=\frac{-b-\sqrt{\Delta}}{2a}$$
$$t_{sol2}=\frac{-\left(8,5\right)-\sqrt{142,81}}{2\times-4,9}$$
$$t_{sol2}=2,1\ s$$
Pour une inclinaison de la rampe de 30°, la durée totale du saut est de 2,1s.
Hauteur et portée maximales en fonction de l’angle α
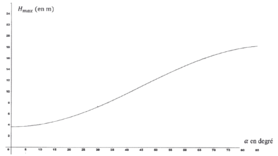
À partir des équations horaires, et compte tenu des valeurs numériques, on a pu tracer les évolutions de la hauteur maximale Hmax et de la portée OB en fonction de l’angle α.
Les graphiques correspondants sont donnés en figures 2 et 3 ci-après.
6. Indiquer dans quel intervalle de valeurs doit théoriquement se trouver l’angle α pour continuer d’augmenter simultanément la hauteur et la portée tout en permettant d’envisager un saut d’une hauteur d’au moins 7 m.

Figure 2 – Hauteur max en fonction de l’angle α

Figure 3 – Portée en fonction de l’angle
Un saut d’une hauteur d’au moins 7 m : graphiquement α>28°

La portée augmente pour α<42°

Pour continuer d’augmenter simultanément la hauteur et la portée tout en permettant d’envisager un saut d’une hauteur d’au moins 7 m : 28°< α <42°
Partie B Étude de la hauteur du saut à partir de l’étude énergétique
On nomme EC l’énergie cinétique du skieur, Ep son énergie potentielle et Em son énergie mécanique.
Lors du saut, ces différentes énergies ont été calculées à l’aide des informations fournies sur la vidéo du saut. L’évolution de chacune au cours du temps est représentée sur ia figure 4 ci-dessous.
On a posé Ep(z = 0) = 0.

Figure 4 – Évolution des énergies du système au cours du temps
7. Identifier parmi les courbes A, B, C de la figure 4 celles représentant l’énergie cinétique, l’énergie potentielle de pesanteur et l’énergie mécanique. Justifier ces choix.
L’énergie cinétique est : $E_c=\frac{1}{2}m.v^2$
Calculons l’énergie cinétique initiale : $E_{c0}=\frac{1}{2}m.{v_0}^2$
$$E_{c0}=\frac{1}{2}\times 80\times {17}^2$$
$$E_{c0}=1,16\times {10}^4J$$
$$E_{c0}=11,6\ KJ$$ : Courbe A
L’énergie potentielle de pesanteur d’un solide est : $Epp=mgz$
Calculons l’énergie potentielle de pesanteur initiale : $E_{pp0}=mgz_0$
$$E_{pp0}=mgz_0$$
$$E_{pp0}=80\times 9,81\times 3,6$$
$$E_{pp0}=2,83\times {10}^3J$$
$$E_{pp0}=2,83\ kJ$$ : Courbe B
Méthode 2 : $Epp=mgz$, $Epp$ est proportionnel à $z$. La courbe de l’énergie potentielle de pesanteur à la même forme que celle de la trajectoire $z$.
L’énergie mécanique Em d’un système est définie comme la somme des énergies cinétique et potentielle. $E_M=E_C+E_p$
Calculons l’énergie mécanique initiale : $E_{m0}=E_{pp0}+E_{c0}$
$$E_{m0}=E_{pp0}+E_{c0}$$
$$E_{m0}=2,83\ +11,6$$
$$E_{m0}=14,4\ kJ$$ : Courbe C
Méthode 2 : la courbe est au dessus des deux autres. C’est la somme des deux autres : Energie mécanique $(EM=EC+Ep)$

8. Expliquer en quoi les résultats expérimentaux permettent de considérer que l’action de l’air sur le skieur n’est pas négligeable.
La courbe C représentant l’énergie mécanique diminue au cours du temps. L’énergie mécanique ne se conserve pas, il y a des frottements, l’action de l’air n’est pas négligeable.
9. Estimer la valeur de l’altitude maximale Hmax du centre de masse du skieur.
$H_{max}$ se situe lorsque l’énergie potentielle de pesanteur est maximale.
Graphiquement : $E_{ppmax}=5,6\ kJ$
$E_{ppmax}=mgH_{max}$
$mgH_{max}=E_{ppmax}$
$$H_{max}=\frac{E_{ppmax}}{mg}$$
$$H_{max}=\frac{5,6\times {10}^3}{80\times 9,81}$$
$$H_{max}=7,1\ m$$

10. En s’appuyant sur des résultats expérimentaux tirés de la figure 4 de la partie B et sur l’étude théorique menée dans la partie A, donner une estimation de la portée du saut enregistré en précisant s’il s’agit d’une estimation par excès ou par défaut compte tenu des hypothèses formulées.
Plusieurs raisonnements sont possibles. Le candidat est invité à prendre des initiatives et à présenter sa démarche.
La portée est la distance parcourue lorsque le skieur touche le sol soit calculer $x\left(t\right)=\ v_0\cos\left(\alpha\right)\times t$
avec $t=t_{sol}$
Graphiquement $t_{sol}=2,08\ s$

Pour calculer la portée :
$$x\left(t_{sol}\right)=\ v_0\cos\left(\alpha\right)\times t_{sol}$$
$$x\left(t_{sol}\right)=\ 17\times \cos\left(30\right)\times 2,08$$
$$x\left(t_{sol}\right)=\ 30,6\ m$$
L’estimation de la portée par cette méthode donne 30,6 m. Pour obtenir cette estimation, nous avons utilisé les équations horaires qui ne tiennent pas compte des forces de frottements.
Cette estimation est donc par excès car en réalité la portée sera moins grande.